কিছু মৌলিক সম্পর্ক

ধরি, $\sin \theta=x \therefore \theta=\sin ^{-1} x=\sin ^{-1} \sin \theta \quad[\because x=\sin \theta]$

আবার, $\sin \theta=x \therefore \sin \sin ^{-1} x=x\left[\because \theta=\sin ^{-1} x\right]$

অনুরূপভাবে, $\theta=\cos ^{-1} \cos \theta=\tan ^{-1} \tan \theta=\ldots \ldots . .$

লক্ষণীয়, $\sin \sin ^{-1} x \neq \sin ^{-1} \sin \theta$ । $\sin \sin ^{-1} x$ একটি সংখ্যা, অপরদিকে $\sin ^{-1} \sin \theta$ একটি অনন্ত সেট যার একটি উপাদান হল $\theta$।

আবার, $\operatorname{cosec} \theta=\frac{1}{\sin \theta}=\frac{1}{\mathrm{x}} \therefore \theta=\operatorname{cosec}^{-1} \frac{1}{\mathrm{x}}$

অর্থাৎ, $\sin ^{-1} x=\operatorname{cosec}^{-1} \frac{1}{x}$  এবং $\operatorname{cosec}^{-1} x=\sin ^{-1} \frac{1}{x}$

অনুরূপভাবে,         $\cos ^{-1} x=\sec ^{-1} \frac{1}{x}$  এবং $\sec ^{-1} x=\cos ^{-1} \frac{1}{x}$

                             $\tan ^{-1} x=\cot ^{-1} \frac{1}{x}$  এবং $\cot ^{-1} x=\tan ^{-1} \frac{1}{x}$

 

বিপরীত বৃত্তীয় ফাংশনের রূপান্তর

ধরি, $\theta=\sin ^{-1} \mathrm{x} \Rightarrow \mathrm{x}=\sin \theta$

$\therefore \cos \theta=\sqrt{1-\sin ^{2} \theta}=\sqrt{1-x^{2}} \Rightarrow \theta=\cos -1 \sqrt{1-x^{2}}$

$\therefore \tan \theta=\frac{\sin \theta}{\cos \theta}=\frac{x}{\sqrt{1-x^{2}}} \Rightarrow \theta=\tan -1 \frac{x}{\sqrt{1-x^{2}}}$

$\therefore \cot \theta=\frac{\cos \theta}{\sin \theta}=\frac{\sqrt{1-x^{2}}}{x} \Rightarrow \theta=\cot -1 \frac{\sqrt{1-x^{2}}}{x}$

$\therefore \sec \theta=\frac{1}{\cos \theta}=\frac{1}{\sqrt{1-x^{2}}} \Rightarrow \theta=\sec -1 \frac{1}{\sqrt{1-x^{2}}}$

$\therefore \operatorname{cosec} \theta=\frac{1}{\sin \theta}=\frac{1}{x} \Rightarrow \theta=\operatorname{cosec}-1 \frac{1}{x}$

অর্থাৎ, $\sin \theta=x$ হলে,

$\theta=\sin ^{-1} x=\cos ^{-1} \sqrt{1-x^{2}}=\tan ^{-1} \frac{x}{\sqrt{1-x^{2}}}=\cot ^{-1} \frac{\sqrt{1-x^{2}}}{x}=\sec ^{-1} \frac{1}{\sqrt{1-x^{2}}}=\operatorname{cosec}^{-1} \frac{1}{x}$

অনুরূপ প্রক্রিয়ায় যেকোনো বিপরীত ফাংশনকে অন্যান্য বিপরীত ফাংশনে রূপান্তরিত করা যায়। এছাড়াও জ্যামিতিক প্রক্রিয়ায় বিপরীত ফাংশনের রূপান্তর করা যায়:

ধরা যাক, $\theta=\cos ^{-1} \mathrm{x} \Rightarrow \mathrm{x}=\cos \theta$

trigo-chap5-1

এখন, ABC সমকোণী ত্রিভুজে ∠B এক সমকোণ এবং ∠ACB = θ                                               

∵ cos θ = x = ভূমি / অতিভুজ = $\frac{\mathrm{BC}}{\mathrm{AC}}$

∴ BC = x এবং AC = 1

পিথাগোরাসের সূত্রানুসারে, $\mathrm{AB}^{2}+\mathrm{BC}^{2}=\mathrm{AC}^{2}$

$\therefore \mathrm{AB}=\sqrt{\mathrm{AC}^{2}-\mathrm{BC}^{2}}=\sqrt{1-\mathrm{x}^{2}}$

$\therefore \sin \theta=$ লম্ব / অতিভুজ $=\frac{\mathrm{AB}}{\mathrm{AC}}=\sqrt{1-\mathrm{x}^{2}} \Rightarrow \theta=\sin -1 \sqrt{1-\mathrm{x}^{2}}$

$\therefore \tan \theta=$ লম্ব / ভূমি $=\frac{\mathrm{AB}}{\mathrm{BC}}=\frac{\sqrt{1-\mathrm{x}^{2}}}{\mathrm{x}} \Rightarrow \theta=\tan -1 \frac{\sqrt{1-\mathrm{x}^{2}}}{\mathrm{x}}$

$\therefore \cot \theta=$ ভূমি / লম্ব $=\frac{\mathrm{BC}}{\mathrm{AB}}=\frac{\mathrm{x}}{\sqrt{1-\mathrm{x}^{2}}} \Rightarrow \theta=\cot -1 \frac{\mathrm{x}}{\sqrt{1-\mathrm{x}^{2}}}$

$\therefore \sec \theta=$ অতিভুজ / ভূমি $=\frac{\mathrm{AC}}{\mathrm{BC}}=\frac{1}{\mathrm{x}} \Rightarrow \theta=\mathrm{sec}-1 \frac{1}{\mathrm{x}}$

$\therefore \operatorname{cosec} \theta=$ অতিভুজ / লম্ব $=\frac{\mathrm{AC}}{\mathrm{AB}}=\frac{1}{\sqrt{1-\mathrm{x}^{2}}} \Rightarrow \theta=\operatorname{cosec}-1 \frac{1}{\sqrt{1-\mathrm{x}^{2}}}$

অর্থাৎ, $\cos \theta=x$ হলে,

$\theta=\cos ^{-1} x=\sin ^{-1} \sqrt{1-x^{2}}=\tan ^{-1} \frac{\sqrt{1-x^{2}}}{x}=\cot ^{-1} \frac{x}{\sqrt{1-x^{2}}}=\sec ^{-1} \frac{1}{x}=\operatorname{cosec}^{-1} \frac{1}{\sqrt{1-x^{2}}}$

 

প্রয়োজনীয় সূত্রাবলী

1. $\sin ^{-1} x+\cos ^{-1} x=\frac{\pi}{2}$
2. $\tan ^{-1} x+\cot ^{-1} x=\frac{\pi}{2}$

3. $\operatorname{cosec}^{-1} x+\sec ^{-1} x=\frac{\pi}{2}$

4. $\tan ^{-1} x+\tan ^{-1} y=\tan ^{-1} \frac{x+y}{1-x y}$

5. $\tan ^{-1} x-\tan ^{-1} y=\tan ^{-1} \frac{x-y}{1+x y}$

 

6. $\sin ^{-1} x+\sin ^{-1} y=\sin ^{-1}\left\{x \sqrt{1-y^{2}}+y \sqrt{1-x^{2}}\right\}$

7. $\sin ^{-1} x-\sin ^{-1} y=\sin ^{-1}\left\{x \sqrt{1-y^{2}}-y \sqrt{1-x^{2}}\right\}$

8. $\cos ^{-1} x+\cos ^{-1} y=\cos ^{-1}\left\{x y-\sqrt{\left(1-x^{2}\right)\left(1-y^{2}\right)}\right\}$

9. $\cos ^{-1} x-\cos ^{-1} y=\cos ^{-1}\left\{x y+\sqrt{\left(1-x^{2}\right)\left(1-y^{2}\right)}\right\}$

10. $2 \sin ^{-1} x=\sin ^{-1}\left(2 x \sqrt{1-x^{2}}\right)$

11. $2 \cos ^{-1} x=\cos ^{-1}\left(2 x^{2}-1\right)$

12. $2 \tan ^{-1} x=\tan ^{-1} \frac{2 x}{1-x^{2}}=\sin ^{-1} \frac{2 x}{1+x^{2}}=\cos ^{-1} \frac{1-x^{2}}{1+x^{2}}$

13. $3 \sin ^{-1} x=\sin ^{-1}\left(3 x-4 x^{3}\right)$

14. $3 \cos ^{-1} x=\cos ^{-1}\left(4 x^{3}-3 x\right)$

15. $3 \tan ^{-1} x=\tan ^{-1} \frac{3 x-x^{3}}{1-3 x^{2}}$

 

উদাহরণ 1. $\sin \cot ^{-1} \tan \cos ^{-1} x=?$

trigo-chap5-2

সমাধান:

ধরি, θ = cos‒1 x তাহলে, x = cos θ

ভূমি = x

অতিভুজ = 1

লম্ব = $\sqrt{1-x^{2}}$                [বিপরীত বৃত্তীয় ফাংশনের রূপান্তর]

$\therefore \theta=\tan ^{-1} \frac{\sqrt{1-x^{2}}}{x}$

$\therefore \sin \cot ^{-1} \tan \cos ^{-1} \mathrm{x}$

$=\sin \cot ^{-1} \tan \theta \quad\left[\theta=\cos ^{-1} \mathrm{x}\right]$

$=\sin \cot ^{-1} \tan \tan ^{-1} \frac{\sqrt{1-\mathrm{x}^{2}}}{\mathrm{x}} \quad\left[\theta=\tan ^{-1} \frac{\sqrt{1-\mathrm{x}^{2}}}{\mathrm{x}}\right]$

 

$=\sin \cot ^{-1} \frac{\sqrt{1-x^{2}}}{x}$

trigo-chap5-2

আবার ধরি, $\theta=\cot ^{-1} \frac{\sqrt{1-x^{2}}}{x}$ তাহলে, $\frac{\sqrt{1-\mathrm{x}^{2}}}{\mathrm{x}}=\cot \theta$

ভূমি $=\sqrt{1-x^{2}}$

লম্ব = x

অতিভুজ = 1

$\therefore \theta=\sin ^{-1} \mathrm{x}$

$\therefore \sin \cot ^{-1} \frac{\sqrt{1-x^{2}}}{x}$

$=\sin \theta$
$=\sin \sin ^{-1} x$
$=x$

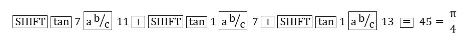
উদাহরণ 2. $\tan ^{-1} \frac{7}{11}+\tan ^{-1} \frac{1}{7}+\tan ^{-1} \frac{1}{13}=?$

সমাধান:

$\tan ^{-1} \frac{7}{11}+\tan ^{-1} \frac{1}{7}+\tan ^{-1} \frac{1}{13}$

$=\tan ^{-1}\left(\frac{\frac{7}{11}+\frac{1}{7}}{1-\frac{7}{11} \times \frac{1}{7}}\right)+\tan ^{-1} \frac{1}{13} \quad\left[\tan ^{-1} x+\tan ^{-1} y=\tan ^{-1} \frac{x+y}{1-x y}\right]$

$=\tan ^{-1} \frac{6}{7}+\tan ^{-1} \frac{1}{13}$

$=\tan ^{-1}\left(\frac{\frac{6}{7}+\frac{1}{13}}{1-\frac{6}{7} \times \frac{1}{13}}\right)$

$=\tan ^{-1} 1$

$=\frac{\pi}{4}$

অথবা, সরাসরি Calculator ব্যবহার করেও সমাধান করা যায়:

trigo-chap5-3

 

ঢাবির বিগত বছরের প্রশ্ন

1. tan‒1 1 + tan‒1 2 + tan‒1 3 এর মান

[DU 2006-2007]

(A) 0
(B) $\frac{\pi}{2}$
(C) $\pi$
(D) $2 \pi$

2.  $\tan ^{-1} 6+\tan ^{-1} \frac{7}{5}$ এর মান

[DU 2007-2008]

(A) $\frac{\pi}{2}$
(B) $\frac{3 \pi}{2}$
(C) $\frac{3 \pi}{4}$
(D) $\frac{\pi}{3}$

3. $\cot \left(\sin ^{-1} \frac{1}{2}\right)$ এর মান

[DU 2008-2009]

(A) $\frac{2}{\sqrt{3}}$
(B) $\frac{1}{\sqrt{3}}$
(C) $\sqrt{3}$
(D) $\frac{\sqrt{3}}{2}$

4. $\tan ^{-1} \frac{1}{7}+\tan ^{-1} \frac{1}{8}+\tan ^{-1} \frac{1}{18}=?$

[DU 2010-2011]

(A) $\cot ^{-1} \frac{1}{3}$
(B) $\cos ^{-1} 3$
(C) $\tan ^{-1} \frac{1}{3}$
(D) $\sin ^{-1} 3$

5. cos tan‒1 cot sin‒1 x সমান

[DU 2011-2012]

(A) $\mathrm{x}$
(B) $\frac{\pi}{2}-\mathrm{X}$
(C) $-\mathrm{X}$
(D) $x-\frac{\pi}{2}$

সমাধান:

1.

[উদাহরণ 2 দ্রষ্টব্য]

সরাসরি Calculator ব্যবহার করে পাই,

tan‒1 1 + tan‒1 2 + tan‒1 3 = 180 = π

∴ Answer: (C)

2.

[উদাহরণ 2 দ্রষ্টব্য]

সরাসরি Calculator ব্যবহার করে পাই,

$\tan ^{-1} 6+\tan ^{-1} \frac{7}{5}=135=\frac{3 \pi}{4}$

∴ Answer: (C)

3.

[উদাহরণ 1 দ্রষ্টব্য]

অথবা, সরাসরি Calculator ব্যবহার করে পাই,

$\sin ^{-1} \frac{1}{2}=30$
$\therefore \cot \left(\sin ^{-1} \frac{1}{2}\right)=\cot 30=\cot (90-30)=\tan 60=\sqrt{3}$

∴ Answer: (C)

4.

[উদাহরণ 2 দ্রষ্টব্য]

সরাসরি Calculator ব্যবহার করে পাই,

$\tan ^{-1} \frac{1}{7}+\tan ^{-1} \frac{1}{8}+\tan ^{-1} \frac{1}{18}=18.434=\tan ^{-1} \frac{1}{3}$

∴ Answer: (C)

5.

[উদাহরণ 1 দ্রষ্টব্য]

trigo-chap5-4

ধরি, θ = sin‒1 x তাহলে, x = sin θ

$\therefore \cos \tan ^{-1} \cot \sin ^{-1} x$
$=\cos \tan ^{-1} \cot \cot ^{-1} \frac{\sqrt{1-x^{2}}}{x}$
$=\cos \tan ^{-1} \frac{\sqrt{1-x^{2}}}{x}$

trigo-chap5-5

আবার ধরি, $\theta=\tan ^{-1} \frac{\sqrt{1-x^{2}}}{x}$ তাহলে, $\frac{\sqrt{1-x^{2}}}{x}=\tan \theta$

$\therefore \cos \tan ^{-1} \frac{\sqrt{1-x^{2}}}{x}$

= cos cos‒1 x

= x

∴ Answer: (A)