কিছু মৌলিক সম্পর্ক
ধরি, $\sin \theta=x \therefore \theta=\sin ^{-1} x=\sin ^{-1} \sin \theta \quad[\because x=\sin \theta]$
আবার, $\sin \theta=x \therefore \sin \sin ^{-1} x=x\left[\because \theta=\sin ^{-1} x\right]$
অনুরূপভাবে, $\theta=\cos ^{-1} \cos \theta=\tan ^{-1} \tan \theta=\ldots \ldots . .$
লক্ষণীয়, $\sin \sin ^{-1} x \neq \sin ^{-1} \sin \theta$ । $\sin \sin ^{-1} x$ একটি সংখ্যা, অপরদিকে $\sin ^{-1} \sin \theta$ একটি অনন্ত সেট যার একটি উপাদান হল $\theta$।
আবার, $\operatorname{cosec} \theta=\frac{1}{\sin \theta}=\frac{1}{\mathrm{x}} \therefore \theta=\operatorname{cosec}^{-1} \frac{1}{\mathrm{x}}$
অর্থাৎ, $\sin ^{-1} x=\operatorname{cosec}^{-1} \frac{1}{x}$
এবং $\operatorname{cosec}^{-1} x=\sin ^{-1} \frac{1}{x}$
অনুরূপভাবে, $\cos ^{-1} x=\sec ^{-1} \frac{1}{x}$
এবং $\sec ^{-1} x=\cos ^{-1} \frac{1}{x}$
$\tan ^{-1} x=\cot ^{-1} \frac{1}{x}$
এবং $\cot ^{-1} x=\tan ^{-1} \frac{1}{x}$
বিপরীত বৃত্তীয় ফাংশনের রূপান্তর
ধরি, $\theta=\sin ^{-1} \mathrm{x} \Rightarrow \mathrm{x}=\sin \theta$
$\therefore \cos \theta=\sqrt{1-\sin ^{2} \theta}=\sqrt{1-x^{2}} \Rightarrow \theta=\cos -1 \sqrt{1-x^{2}}$
$\therefore \tan \theta=\frac{\sin \theta}{\cos \theta}=\frac{x}{\sqrt{1-x^{2}}} \Rightarrow \theta=\tan -1 \frac{x}{\sqrt{1-x^{2}}}$
$\therefore \cot \theta=\frac{\cos \theta}{\sin \theta}=\frac{\sqrt{1-x^{2}}}{x} \Rightarrow \theta=\cot -1 \frac{\sqrt{1-x^{2}}}{x}$
$\therefore \sec \theta=\frac{1}{\cos \theta}=\frac{1}{\sqrt{1-x^{2}}} \Rightarrow \theta=\sec -1 \frac{1}{\sqrt{1-x^{2}}}$
$\therefore \operatorname{cosec} \theta=\frac{1}{\sin \theta}=\frac{1}{x} \Rightarrow \theta=\operatorname{cosec}-1 \frac{1}{x}$
অর্থাৎ, $\sin \theta=x$ হলে,
$\theta=\sin ^{-1} x=\cos ^{-1} \sqrt{1-x^{2}}=\tan ^{-1} \frac{x}{\sqrt{1-x^{2}}}=\cot ^{-1} \frac{\sqrt{1-x^{2}}}{x}=\sec ^{-1} \frac{1}{\sqrt{1-x^{2}}}=\operatorname{cosec}^{-1} \frac{1}{x}$
অনুরূপ প্রক্রিয়ায় যেকোনো বিপরীত ফাংশনকে অন্যান্য বিপরীত ফাংশনে রূপান্তরিত করা যায়। এছাড়াও জ্যামিতিক প্রক্রিয়ায় বিপরীত ফাংশনের রূপান্তর করা যায়:
ধরা যাক, $\theta=\cos ^{-1} \mathrm{x} \Rightarrow \mathrm{x}=\cos \theta$
এখন, ABC সমকোণী ত্রিভুজে ∠B এক সমকোণ এবং ∠ACB = θ
∵ cos θ = x = ভূমি / অতিভুজ = $\frac{\mathrm{BC}}{\mathrm{AC}}$
∴ BC = x এবং AC = 1
পিথাগোরাসের সূত্রানুসারে, $\mathrm{AB}^{2}+\mathrm{BC}^{2}=\mathrm{AC}^{2}$
$\therefore \mathrm{AB}=\sqrt{\mathrm{AC}^{2}-\mathrm{BC}^{2}}=\sqrt{1-\mathrm{x}^{2}}$
$\therefore \sin \theta=$ লম্ব / অতিভুজ $=\frac{\mathrm{AB}}{\mathrm{AC}}=\sqrt{1-\mathrm{x}^{2}} \Rightarrow \theta=\sin -1 \sqrt{1-\mathrm{x}^{2}}$
$\therefore \tan \theta=$ লম্ব / ভূমি $=\frac{\mathrm{AB}}{\mathrm{BC}}=\frac{\sqrt{1-\mathrm{x}^{2}}}{\mathrm{x}} \Rightarrow \theta=\tan -1 \frac{\sqrt{1-\mathrm{x}^{2}}}{\mathrm{x}}$
$\therefore \cot \theta=$ ভূমি / লম্ব $=\frac{\mathrm{BC}}{\mathrm{AB}}=\frac{\mathrm{x}}{\sqrt{1-\mathrm{x}^{2}}} \Rightarrow \theta=\cot -1 \frac{\mathrm{x}}{\sqrt{1-\mathrm{x}^{2}}}$
$\therefore \sec \theta=$ অতিভুজ / ভূমি $=\frac{\mathrm{AC}}{\mathrm{BC}}=\frac{1}{\mathrm{x}} \Rightarrow \theta=\mathrm{sec}-1 \frac{1}{\mathrm{x}}$
$\therefore \operatorname{cosec} \theta=$ অতিভুজ / লম্ব $=\frac{\mathrm{AC}}{\mathrm{AB}}=\frac{1}{\sqrt{1-\mathrm{x}^{2}}} \Rightarrow \theta=\operatorname{cosec}-1 \frac{1}{\sqrt{1-\mathrm{x}^{2}}}$
অর্থাৎ, $\cos \theta=x$ হলে,
$\theta=\cos ^{-1} x=\sin ^{-1} \sqrt{1-x^{2}}=\tan ^{-1} \frac{\sqrt{1-x^{2}}}{x}=\cot ^{-1} \frac{x}{\sqrt{1-x^{2}}}=\sec ^{-1} \frac{1}{x}=\operatorname{cosec}^{-1} \frac{1}{\sqrt{1-x^{2}}}$
প্রয়োজনীয় সূত্রাবলী
1. $\sin ^{-1} x+\cos ^{-1} x=\frac{\pi}{2}$
2. $\tan ^{-1} x+\cot ^{-1} x=\frac{\pi}{2}$
3. $\operatorname{cosec}^{-1} x+\sec ^{-1} x=\frac{\pi}{2}$
4. $\tan ^{-1} x+\tan ^{-1} y=\tan ^{-1} \frac{x+y}{1-x y}$
5. $\tan ^{-1} x-\tan ^{-1} y=\tan ^{-1} \frac{x-y}{1+x y}$
6. $\sin ^{-1} x+\sin ^{-1} y=\sin ^{-1}\left\{x \sqrt{1-y^{2}}+y \sqrt{1-x^{2}}\right\}$
7. $\sin ^{-1} x-\sin ^{-1} y=\sin ^{-1}\left\{x \sqrt{1-y^{2}}-y \sqrt{1-x^{2}}\right\}$
8. $\cos ^{-1} x+\cos ^{-1} y=\cos ^{-1}\left\{x y-\sqrt{\left(1-x^{2}\right)\left(1-y^{2}\right)}\right\}$
9. $\cos ^{-1} x-\cos ^{-1} y=\cos ^{-1}\left\{x y+\sqrt{\left(1-x^{2}\right)\left(1-y^{2}\right)}\right\}$
10. $2 \sin ^{-1} x=\sin ^{-1}\left(2 x \sqrt{1-x^{2}}\right)$
11. $2 \cos ^{-1} x=\cos ^{-1}\left(2 x^{2}-1\right)$
12. $2 \tan ^{-1} x=\tan ^{-1} \frac{2 x}{1-x^{2}}=\sin ^{-1} \frac{2 x}{1+x^{2}}=\cos ^{-1} \frac{1-x^{2}}{1+x^{2}}$
13. $3 \sin ^{-1} x=\sin ^{-1}\left(3 x-4 x^{3}\right)$
14. $3 \cos ^{-1} x=\cos ^{-1}\left(4 x^{3}-3 x\right)$
15. $3 \tan ^{-1} x=\tan ^{-1} \frac{3 x-x^{3}}{1-3 x^{2}}$
উদাহরণ 1. $\sin \cot ^{-1} \tan \cos ^{-1} x=?$
সমাধান:
ধরি, θ = cos‒1 x তাহলে, x = cos θ
∴ ভূমি = x
অতিভুজ = 1
লম্ব = $\sqrt{1-x^{2}}$ [বিপরীত বৃত্তীয় ফাংশনের রূপান্তর]
$\therefore \theta=\tan ^{-1} \frac{\sqrt{1-x^{2}}}{x}$
$\therefore \sin \cot ^{-1} \tan \cos ^{-1} \mathrm{x}$
$=\sin \cot ^{-1} \tan \theta \quad\left[\theta=\cos ^{-1} \mathrm{x}\right]$
$=\sin \cot ^{-1} \tan \tan ^{-1} \frac{\sqrt{1-\mathrm{x}^{2}}}{\mathrm{x}} \quad\left[\theta=\tan ^{-1} \frac{\sqrt{1-\mathrm{x}^{2}}}{\mathrm{x}}\right]$
$=\sin \cot ^{-1} \frac{\sqrt{1-x^{2}}}{x}$
আবার ধরি, $\theta=\cot ^{-1} \frac{\sqrt{1-x^{2}}}{x}$ তাহলে, $\frac{\sqrt{1-\mathrm{x}^{2}}}{\mathrm{x}}=\cot \theta$
∴ ভূমি $=\sqrt{1-x^{2}}$
লম্ব = x
অতিভুজ = 1
$\therefore \theta=\sin ^{-1} \mathrm{x}$
$\therefore \sin \cot ^{-1} \frac{\sqrt{1-x^{2}}}{x}$
$=\sin \theta$
$=\sin \sin ^{-1} x$
$=x$
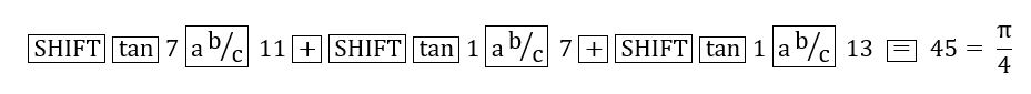
উদাহরণ 2. $\tan ^{-1} \frac{7}{11}+\tan ^{-1} \frac{1}{7}+\tan ^{-1} \frac{1}{13}=?$
সমাধান:
$\tan ^{-1} \frac{7}{11}+\tan ^{-1} \frac{1}{7}+\tan ^{-1} \frac{1}{13}$
$=\tan ^{-1}\left(\frac{\frac{7}{11}+\frac{1}{7}}{1-\frac{7}{11} \times \frac{1}{7}}\right)+\tan ^{-1} \frac{1}{13} \quad\left[\tan ^{-1} x+\tan ^{-1} y=\tan ^{-1} \frac{x+y}{1-x y}\right]$
$=\tan ^{-1} \frac{6}{7}+\tan ^{-1} \frac{1}{13}$
$=\tan ^{-1}\left(\frac{\frac{6}{7}+\frac{1}{13}}{1-\frac{6}{7} \times \frac{1}{13}}\right)$
$=\tan ^{-1} 1$
$=\frac{\pi}{4}$
অথবা, সরাসরি Calculator ব্যবহার করেও সমাধান করা যায়:
ঢাবির বিগত বছরের প্রশ্ন
1. tan‒1 1 + tan‒1 2 + tan‒1 3 এর মান ‒
[DU 2006-2007]
(A) 0
(B) $\frac{\pi}{2}$
(C) $\pi$
(D) $2 \pi$
2. $\tan ^{-1} 6+\tan ^{-1} \frac{7}{5}$
এর মান ‒
[DU 2007-2008]
(A) $\frac{\pi}{2}$
(B) $\frac{3 \pi}{2}$
(C) $\frac{3 \pi}{4}$
(D) $\frac{\pi}{3}$
3. $\cot \left(\sin ^{-1} \frac{1}{2}\right)$ এর মান ‒
[DU 2008-2009]
(A) $\frac{2}{\sqrt{3}}$
(B) $\frac{1}{\sqrt{3}}$
(C) $\sqrt{3}$
(D) $\frac{\sqrt{3}}{2}$
4. $\tan ^{-1} \frac{1}{7}+\tan ^{-1} \frac{1}{8}+\tan ^{-1} \frac{1}{18}=?$
[DU 2010-2011]
(A) $\cot ^{-1} \frac{1}{3}$
(B) $\cos ^{-1} 3$
(C) $\tan ^{-1} \frac{1}{3}$
(D) $\sin ^{-1} 3$
5. cos tan‒1 cot sin‒1 x সমান ‒
[DU 2011-2012]
(A) $\mathrm{x}$
(B) $\frac{\pi}{2}-\mathrm{X}$
(C) $-\mathrm{X}$
(D) $x-\frac{\pi}{2}$
সমাধান:
1.
[উদাহরণ 2 দ্রষ্টব্য]
সরাসরি Calculator ব্যবহার করে পাই,
tan‒1 1 + tan‒1 2 + tan‒1 3 = 180 = π
∴ Answer: (C)
2.
[উদাহরণ 2 দ্রষ্টব্য]
সরাসরি Calculator ব্যবহার করে পাই,
$\tan ^{-1} 6+\tan ^{-1} \frac{7}{5}=135=\frac{3 \pi}{4}$
∴ Answer: (C)
3.
[উদাহরণ 1 দ্রষ্টব্য]
অথবা, সরাসরি Calculator ব্যবহার করে পাই,
$\sin ^{-1} \frac{1}{2}=30$
$\therefore \cot \left(\sin ^{-1} \frac{1}{2}\right)=\cot 30=\cot (90-30)=\tan 60=\sqrt{3}$
∴ Answer: (C)
4.
[উদাহরণ 2 দ্রষ্টব্য]
সরাসরি Calculator ব্যবহার করে পাই,
$\tan ^{-1} \frac{1}{7}+\tan ^{-1} \frac{1}{8}+\tan ^{-1} \frac{1}{18}=18.434=\tan ^{-1} \frac{1}{3}$
∴ Answer: (C)
5.
[উদাহরণ 1 দ্রষ্টব্য]
ধরি, θ = sin‒1 x তাহলে, x = sin θ
$\therefore \cos \tan ^{-1} \cot \sin ^{-1} x$
$=\cos \tan ^{-1} \cot \cot ^{-1} \frac{\sqrt{1-x^{2}}}{x}$
$=\cos \tan ^{-1} \frac{\sqrt{1-x^{2}}}{x}$
আবার ধরি, $\theta=\tan ^{-1} \frac{\sqrt{1-x^{2}}}{x}$ তাহলে, $\frac{\sqrt{1-x^{2}}}{x}=\tan \theta$
$\therefore \cos \tan ^{-1} \frac{\sqrt{1-x^{2}}}{x}$
= cos cos‒1 x
= x
∴ Answer: (A)